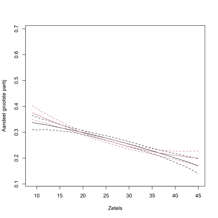
Figuur 3 - Urban Myth