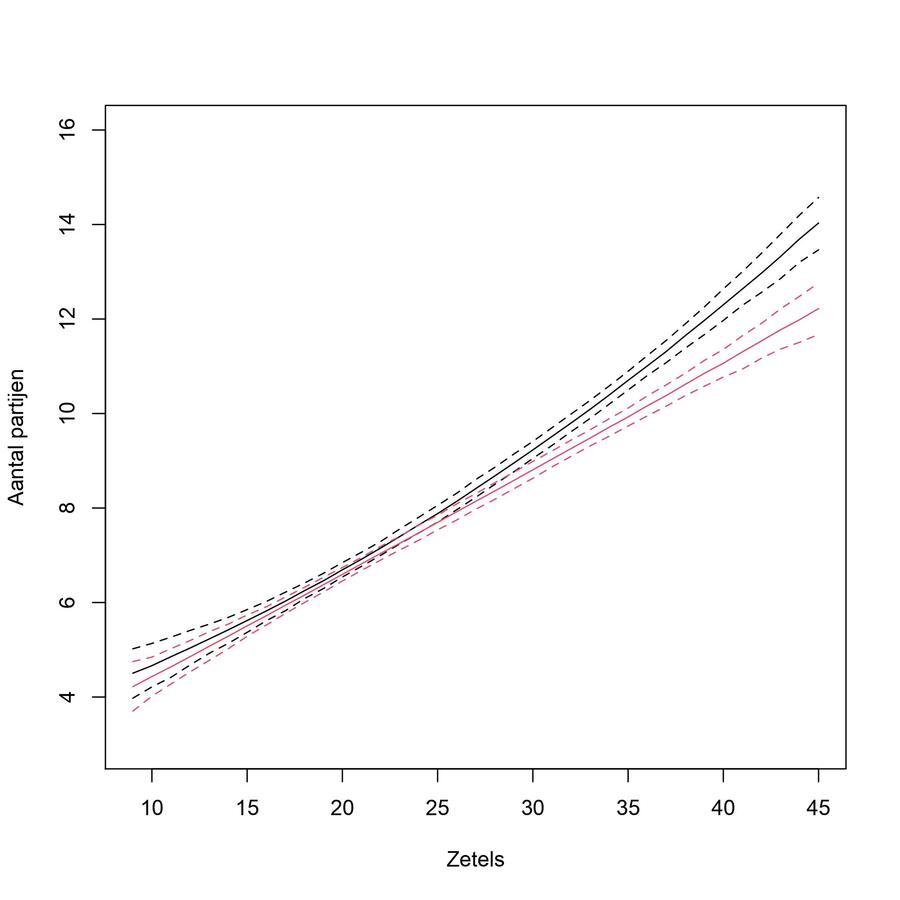
Figuur 1 - Urban Myth